Top.Mail.Ru

Как определить класс опасности отходов: критерии и расчёты

Организации и ИП, в процессе деятельности которых образуются отходы производства и потребления, должны заботиться об их транспортировке, обработке, утилизации, обезвреживанию. Немаловажную роль здесь играет класс опасности отходов. В материале рассказываем, как класс опасности отходов, какие применять критерии и расчёты.

Организации и ИП, в процессе деятельности которых образуются отходы производства и потребления, должны заботиться об их транспортировке, обработке, утилизации, обезвреживанию. Немаловажную роль здесь играет класс опасности отходов.

Какие классы опасности отходов существуют

По степени негативного воздействия на окружающую среду отходы делятся на пять классов опасности:

  • I класс - чрезвычайно опасные отходы;

  • II класс - высокоопасные отходы;

  • III класс - умеренно опасные отходы;

  • IV класс - малоопасные отходы;

  • V класс - практически неопасные отходы.

По каким критериям отходы классифицируют по классам опасности

Классификация производится в соответствии с критериями. С 1 сентября 2025 года они определены Приказом Минприроды России от 31 марта 2025 № 158.

Критериями отнесения отходов к I - V классам опасности по степени негативного воздействия на окружающую среду являются:

  • степень опасности отхода для окружающей среды (К) (критерий 1);

  • кратность разведения водной вытяжки из отхода, при которой вредное воздействие на гидробионты (водные организмы) отсутствует (Кр) (критерий 2).

Для определения степени опасности каждого компонента используются расчёты, которые включают:

1)     концентрацию вещества (Ci);

2)     коэффициент степени опасности (Wi);

3)     относительные показатели первичных факторов (предельно допустимая концентрация (ПДК), класс опасности, растворимость и др.);

4)     баллы, отражающие полноту информационного обеспечения по каждому веществу.

Критерий 2 применяется для установления классов опасности отходов, представленных золами, шлаками и золошлаковыми смесями от сжигания углей, отходов добычи и обогащения угля, и отходов, водная вытяжка из которых характеризуется повышенным солесодержанием (содержание сухого остатка в исследуемой водной вытяжке более 6 г/дм3).

Если на основании применения Критерия 1 получен V класс опасности, для его подтверждения проводят проверку с применением Критерия 2.

В таблице 1 привели значения опасности отхода для окружающей среды (к) по классам опасности отхода.

Таблица 1. Значения степени опасности отхода для окружающей среды (к) по классам опасности отхода (приложение №1 к Критериям)

Класс опасности отхода

Степень опасности отхода для окружающей среды (К)

I

II

III

IV

V

К  10

 

К – степень опасности отхода для окружающей среды.

Определяется по сумме степеней опасности веществ, составляющих отход (компоненты отхода), для окружающей среды ():

,

где:

,...  - показатели степени опасности отдельных компонентов отхода для окружающей среды;

m - количество компонентов отхода.

Перечень компонентов отхода и их количественное содержание устанавливаются на основании сведений, содержащихся в технологических регламентах, технических условиях, стандартах, проектной документации, либо регламентах, технических условиях, стандартах, проектной документации, либо по результатам количественных химических анализов, выполняемых с соблюдением установленных законодательством РФ об обеспечении единства измерений требований к измерениям, средствам измерений.

Степень опасности компонента отхода для окружающей среды () рассчитывается как отношение концентрации компонента отхода () к коэффициенту его степени опасности для окружающей среды ().

,

где:

 - концентрация i-го компонента в отходе (мг/кг);

 - коэффициент степени опасности i-го компонента отхода для окружающей среды (мг/кг).

Коэффициентом степени опасности компонента отхода для окружающей среды () является показатель, численно равный количеству компонента отхода, ниже значения которого он не оказывает негативного воздействия на окружающую среду. Размерность коэффициента степени опасности для окружающей среды условно принимается как мг/кг.

7.Коэффициент степени опасности компонента отхода для окружающей среды () рассчитывается по одной из следующих формул:

 для ,

 для ,

 для ,

где:

;

 - унифицированный относительный параметр опасности компонента отхода для окружающей среды;

 - относительный параметр опасности компонента отхода для окружающей среды.

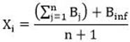
8.Относительный параметр опасности компонента отхода для окружающей среды () рассчитывается по формуле:

,

где:

 - значение балла, соответствующее каждому оцененному первичному показателю опасности компонента отхода;

n - количество оцененных первичных показателей опасности компонента отхода;

 - значение балла, соответствующее показателю информационного обеспечения системы первичных показателей опасности компонента отхода.

Первичные показатели опасности компонента отхода характеризуют степени их опасности для различных компонентов природной среды и представлены в приложении № 2 к Критериям (таблица 2).

Значения баллов (), соответствующие показателю информационного обеспечения, определяемого путём деления числа оцененных первичных показателей опасности компонента отхода (n) на 12, присваиваются интервалам его изменения согласно приложению № 3 к Критериям (таблица 3).

К практически неопасным компонентам отходов с относительным параметром опасности компонента отхода для окружающей среды (), равным 4, и, следовательно, коэффициентом степени опасности компонента отхода для окружающей среды (), равным  относятся компоненты отходов, состоящие:

  • из кислорода, азота, углерода, фосфора, серы, кремния, алюминия, железа, натрия, калия, кальция, магния, титана в концентрациях, не превышающих их содержание в основных типах почв;

  • из веществ, встречающихся в живой природе, например, углеводах (клетчатке, крахмале и иных), белках, азотсодержащих органических соединениях природного происхождения.

Для остальных компонентов отходов степень опасности компонента отхода для окружающей среды () определяется в соответствии с вышеприведёнными положениями.

Значения коэффициента степени опасности компонента отхода для окружающей среды () для отдельных компонентов отходов приведены в приложении № 4 к Критериям (таблица 4).

Таблица 2. Первичные показатели опасности компонента отхода (Приложение №2 к Критериям)

№ п/п

Первичные показатели опасности компонента отхода

Значения, интервалы и характеристики первичных показателей опасности компонента отхода для окружающей среды

1


(Предельно допустимая концентрация вещества в почве);
ОДК, мг/кг
(Ориентировочно допустимая концентрация)

< 1

1 - 10

10.1 - 100

> 100

2

Класс опасности в почве

1

2

3

не установлен

3


(Предельно допустимая концентрация вещества в воде водных объектов, используемых для целей питьевого и хозяйственно-бытового водоснабжения);
ОДУ, мг/л (Ориентировочно допустимый уровень);
ОБУВ, мг/л
(Ориентировочный безопасный уровень воздействия)

< 0.01

0.01 - 0.1

0.11 - 1

> 1

4

Класс опасности в воде водных объектов, используемых для целей питьевого и хозяйственно-бытового водоснабжения

1

2

3

4

5

, мг/л
(Предельно допустимая концентрация вещества в воде водных объектов рыбохозяйственного значения);
ОБУВ, мг/л

< 0.001

0.001 - 0.01

0.011 - 0.1

> 0.1

6

Класс опасности в воде водных объектов рыбохозяйственного значения

1

2

3

4

7

, мг/м3
(Предельно допустимая концентрация вещества среднесуточная в атмосферном воздухе населенных мест);
, мг/м3
(Предельно допустимая концентрация вещества максимально разовая в атмосферном воздухе населенных мест);
ОБУВ, мг/м3

< 0.01

0.01 - 0.1

0.11 - 1

> 1

8

Класс опасности в атмосферном воздухе

1

2

3

4

9


(Предельно допустимая концентрация вещества в пищевых продуктах);
МДУ, мг/кг
(Максимально допустимый уровень);
МДС, мг/кг
(Максимально допустимое содержание)

< 0.01

0.01 - 1

1.1 - 10

> 10

10

Lg (S, мг/л/, мг/л),

где:
S
(Растворимость компонента отхода (вещества) в воде при 20°);

(Предельно допустимая концентрация вещества в воде водных объектов, используемых для целей питьевого и хозяйственно-бытового водоснабжения).
Если , то  и балл равен 1, если S = 0, то  и балл равен 4

> 5

5 - 2

1.9 - 1

< 1

11

Lg (, мг/м3 / ),

где:

(Насыщающая концентрация вещества в воздухе при 20° C и нормальном давлении);

(Предельно допустимая концентрация вещества в атмосферном воздухе рабочей зоны)

> 5

5 - 2

1.9 - 1

< 1

12

Lg (, мг/м3 /  или ),

где:

(Насыщающая концентрация вещества в воздухе при 20° C и нормальном давлении);

(Предельно допустимая концентрация вещества среднесуточная в атмосферном воздухе населенных мест) или 
(Предельно допустимая концентрация вещества максимально разовая в атмосферном воздухе населенных мест)

> 7

7 - 3.9

3.8 - 1.6

< 1.6

13

 (октанол/вода)
(Коэффициент распределения в системе октанол/вода при 20° C)

> 4

4 - 2

1.9 - 0

< 0

14

, мг/кг
(Средняя смертельная доза компонента в миллиграммах действующего вещества на 1 кг живого веса, вызывающая гибель 50% подопытных животных при однократном пероральном введении в унифицированных условиях)

< 15

15 - 150

151 - 5000

> 5000

15

, мг/м3
(Средняя смертельная концентрация вещества, вызывающая гибель 50% подопытных животных при ингаляционном поступлении в унифицированных условиях)

< 500

500 - 5000

5001 - 50000

> 50000

16

, мг/л/96 ч
(Средняя смертельная концентрация вещества в воде, вызывающая гибель 50% всех взятых в опыт гидробионтов (например, рыб) через 96 часов)

< 1

1 - 5

5.1 - 100

> 100

17

,

где:
БД
(Биологическая диссимиляция);

(Биологическое потребление кислорода, выраженное в миллилитрах /л за 5 суток);
ХПК
(Химическое потребление кислорода, выраженное в миллилитрах /100 л)

< 0.1

0,1 - 1,0

1,0 - 10

> 10

18

Персистентность (трансформация в окружающей среде)

Образование более токсичных продуктов, в т.ч. обладающих отдаленными эффектами или новыми свойствами

Образование продуктов с более выраженным влиянием других критериев опасности

Образование продуктов, токсичность которых близка к токсичности исходного вещества

Образование менее токсичных продуктов

19

Биоаккумуляция (поведение в пищевой цепочке)

Выраженное накопление во всех звеньях

Накопление в нескольких звеньях

Накопление в одном из звеньев

Накопление отсутствует

 

 

 

 

 

 


Присваиваемый балл ()

1

2

3

4


Присваиваемый балл ()

 

Таблица 3. Значения баллов (binf) в зависимости от интервала изменения показателя информационного обеспечения (Приложение №3 к Критериям)

Диапазоны изменения показателя информационного обеспечения (n / 12)

Балл ()

< 0,5 (n < 6)

1

0,5 - 0,7 (n = 6 - 8)

2

0,71 - 0,9 (n = 9 - 10)

3

> 0,9 (n  11)

4

 

 

Таблица 4. Коэффициент степени опасности компонента отхода для окружающей среды (Wi) для отдельных компонентов отходов (Приложение №4 к Критериям)

Наименование компонента отхода

,
относительный параметр опасности компонента отхода для окружающей среды

,
унифицированный относительный параметр опасности компонента отхода для окружающей среды

,
десятичный логарифм коэффициента степени опасности компонента отхода для окружающей среды

,
коэффициент степени опасности компонента отхода для окружающей среды

Альдрин

1,857

2,14

2,14

138

Бенз(а)пирен

1,6

1,8

1,778

59,97

Бензол

2,14

2,52

2,52

331,13

Гексахлорбензол

2,166

2,55

2,55

354

2-4Динитрофенол

1,5

1,66

1,66

39,8

Ди(п)бутилфталат

2

2,33

2,33

215,44

Диоксины

1,4

1,533

1,391

24,6

Дихлорпропен

2,2

2,66

2,66

398

Диметилфтатат

2,166

2,555

2,555

358,59

Дихлорфенол

1,5

1,66

1,66

39,8

Дихлордифенилтрихлорэтан

2

2,33

2,33

213,8

Кадмий

2,12

2,49

2,49

309,03

Линдан

2,25

2,66

2,66

463,4

Марганец

3,15

3,87

3,87

7356,42

Медь

2,84

3,45

3,45

2840,10

Мышьяк

2,27

2,69

2,69

493,55

Нафталин

2,286

2,714

2,714

517,9

Никель

2,64

3,19

3,19

1536,97

N-нитрозодифениламин

2,8

3,4

3,4

2511,88

Пентахлорбифенилы

1,6

1,8

1,778

59,98

Пентахлорфенол

1,66

1,88

1,88

75,85

Ртуть

1,79

2,05

2,05

113,07

Стронций

3,09

3,79

3,79

6118,81

Серебро

2,14

2,52

2,52

331,1

Свинец

2,36

2,81

2,81

650,63

Тетрахлорэтан

2,4

2,866

2,866

735,6

Толуол

2,69

3,25

3,25

1778,28

Трихлорбензол

2,33

2,77

2,77

598,4

Фенол

2,28

2,71

2,71

508,94

Фураны

2,166

2,55

2,55

359

Хлороформ

2

2,333

2,333

215,4

Хром трехвалентный

2,92

3,56

3,56

3630,78

Хром шестивалентный

2,33

2,77

2,77

593,38

Цинк

2,8

3,4

3,4

2511,89

Этилбензол

2,86

3,48

3,48

3019,95

 

В приложении № 5 к Критериям (таблица 5) приведены значения кратности разведения водной вытяжки из отхода.

 

Таблица 5. Значения кратности разведения водной вытяжки из отхода (Приложение №5 к Критериям)

Класс опасности отхода

Кратность (Кр) разведения водной вытяжки из отхода (Для определения V класса опасности отхода используется сама водная вытяжка, без её разведения)

I

Кр > 10000

II

1000 < Кр  10000

III

100 < Кр  1000

IV

1 < Кр  100

V

Кр = 1

 

Определение кратности (Кр) разведения водной вытяжки из отхода, при которой вредное воздействие на гидробионты отсутствует:

  • основано на биотестировании водной вытяжки отходов - исследовании токсического действия на гидробионты водной вытяжки из отходов, полученной с использованием воды, свойства которой установлены применяемой методикой биотестирования при массовом соотношении отхода и воды 1:10.

  • осуществляется по аттестованным методикам (методам) измерений, сведения о которых содержатся в Федеральном информационном фонде по обеспечению единства измерений в соответствии с Федеральным законом от 26 июня 2008 № 102-ФЗ «Об обеспечении единства измерений».

При определении кратности необходимо применять не менее двух тест-объектов из разных систематических групп (дафнии и инфузории, цериодафнии и бактерии или водоросли). За окончательный результат принимается класс опасности, выявленный на тест-объекте, проявившем более высокую чувствительность к анализируемому отходу.

При исследовании водных вытяжек из отходов с повышенным солесодержанием (содержание сухого остатка в исследуемой водной вытяжке более 6 г/дм3) следует применять не менее двух тест-объектов, устойчивых к повышенному солесодержанию из разных систематических групп.

Обратите внимание! Если значение класса опасности отхода, установленного на основании применения Критерия 1 и Критерия 2, не совпадает, устанавливается класс опасности отхода на основании значения кратности разведения водной вытяжки из отхода согласно приложению № 5 к Критериям (таблица 5).

Действие критериев, утв. Приказом Минприроды №158, не распространяется на радиоактивные отходы, биологические отходы, а также медицинские отходы до их передачи лицам, осуществляющим обращение с отходами производства и потребления.

Рекомендуем

Инженерная защита окружающей среды

Программа направлена на изучение методов и технологий, направленных на защиту экосистем от негативного воздействия. Усовершенствование имеющихся и формирование новых компетенций в области инженерной защиты окружающей среды.

Экология, охрана окружающей среды и экологическая безопасность

Программа направлена на формирование у студентов глубоких знаний о взаимодействии человека и природы. Она включает изучение основ экологии, природопользования, управления экологическими рисками, а также методов оценки воздействия на окружающую среду.

Смотреть все программы

Обучение по экологии и экологической безопасности

Программы заочного (дистанционного) обучения


Смотрите также:

Заказать обратный звонок

×

Сайт УЦ Финконт использует cookies. Подробнее »

Продолжая работу с сайтом, Вы выражаете своё согласие на обработку Ваших персональных данных.

Отключить cookies Вы можете в настройках своего браузера.

http://www.finkont.ru/blog/kak-opredelit-klass-opasnosty-othodov-kriterii-i-raschety/